детский сад с. Большой Куганак
Меню
Меню
Сведения об образовательной организации
Сведения об образовательной организации
Назад
Сведения об образовательной организации
Основные сведения
Структура и органы управления образовательной организацией
Документы
Документы
Назад
Документы
Зачисление детей приказы
Образование
Образование
Назад
Образование
Подготовка к школе
Наставничество
ФОП ДО
Образовательные стандарты и требования
Руководство
Педагогический состав
Материально-техническое обеспечение и оснащённость образовательного процесса. Доступная среда
Материально-техническое обеспечение и оснащённость образовательного процесса. Доступная среда
Назад
Материально-техническое обеспечение и оснащённость образовательного процесса. Доступная среда
Организация питания
Стипендии и меры поддержки обучающихся
Платные образовательные услуги
Финансово-хозяйственная деятельность
Вакантные места для приёма (перевода) обучающихся
Международное сотрудничество
Организация питания в образовательной организации
Министерство науки и высшего образования Российской Федерации
Министерство просвещения Российской Федерации
Законодательная карта
Безопасность
Безопасность
Назад
Безопасность
Клещевой энцефалит, ГЛПС
Антитеррористическая безопасность
Основы безопасности жизнедеятельности
Безопасность дорожного движения
Охрана труда
Пожарная безопасность
Безопасность на воде
Дистанционное обучение ДОО
Доступная среда
НОКУ
ВСОКО
Обращения
Обращения
Назад
Обращения
Личный прием
Электронные обращения
Письменное обращение
Порядок обжалования
Проверить статус обращения
Ответы на обращения, затрагивающие интересы неопределенного круга лиц
Противодействие коррупции
Информационная безопасность
Информационная безопасность
Назад
Информационная безопасность
Локальные нормативные акты в сфере обеспечения информационной безопасности обучающихся
Нормативное регулирование
Педагогическим работникам
Обучающимся
Родителям (законным представителям обучающихся)
Родителям (законным представителям обучающихся)
Назад
Родителям (законным представителям обучающихся)
Методический материал
Детские безопасные сайты
Антитеррористическая защищенность
Комплексная безопасность
Комплексная безопасность
Назад
Комплексная безопасность
Пожарная безопасность
Охрана труда
Дорожная безопасность
ГО и ЧС
Работа с персональными данными
НОКО. Независимая оценка качества образования
МУНИЦИПАЛЬНОЕ БЮДЖЕТНОЕ ДОШКОЛЬНОЕ ОБРАЗОВАТЕЛЬНОЕ УЧРЕЖДЕНИЕ ДЕТСКИЙ САД с. БОЛЬШОЙ КУГАНАК СТЕРЛИТАМАКСКИЙ РАЙОН РЕСПУБЛИКИ БАШКОРТОСТАН
8 (3473) 27-68-31
МADOUkuganak.ru@yandex.ru
Версия для слабовидящих
Войти
Меню
Главная
МКДО 2022
О нас
О нас
Назад
О нас
История детского сада
Благодарности
Места занятий
Дипломы и награды
Отзывы
Отзывы
Назад
Отзывы
Добавить отзыв
Вакансии
Вакансии
Назад
Вакансии
Заполнить анкету
Вопрос-ответ
Вопрос-ответ
Назад
Вопрос-ответ
Задать вопрос
Доска почёта
Партнёры
Наша жизнь
Наша жизнь
Назад
Наша жизнь
Расписание
Кружки и секции
Новости
Объявления
Фотогалерея
Видеогалерея
Мероприятия
Полезные статьи
Презентации
Родителям
Родителям
Назад
Родителям
Приём в детский сад
Группы
Расписание
Платные образовательные услуги
Платные образовательные услуги
Назад
Платные образовательные услуги
Порядок оказания платных образовательных услуг
Цены на платные услуги
Перечень платных услуг
Вопрос-ответ
Полезные ссылки
Новости
Объявления
Дистанционное обучение ДОО
Консультационный центр
Правила внутреннего распорядка
Педагогам
Педагогам
Назад
Педагогам
Аттестации
Расписание
Новости
Объявления
Правила внутреннего трудового распорядка
Методические материалы
Электронный библиотечный фонд
Электронный библиотечный фонд
Назад
Электронный библиотечный фонд
ССЫЛКИ
Наставничество в ДОУ
Курсы повышения квалификации
Питание
Питание
Назад
Питание
Организация питания
Меню
Нормативные документы
Бесплатное питание для льготных категорий граждан
Стоимость питания
Поставщики
График выдачи блюд
Договор на оказание услуг питания
Льготное питание
Общие сведения по оператору питания
Особые условия организации питания с учетом эпидемиологической ситуации по распространению новой коронавирусной инфекции (СОVID -19)
Основное 2-недельное меню
Программа "Разговоры о здоровье и правильном питании"
Телефоны горячей линии по питанию
Программа производственного контроля организации питания
Контакты
Контакты
Назад
Контакты
Контакты контролирующих организаций
Реквизиты организации
Телефонный справочник
Дистанционная работа
Питание
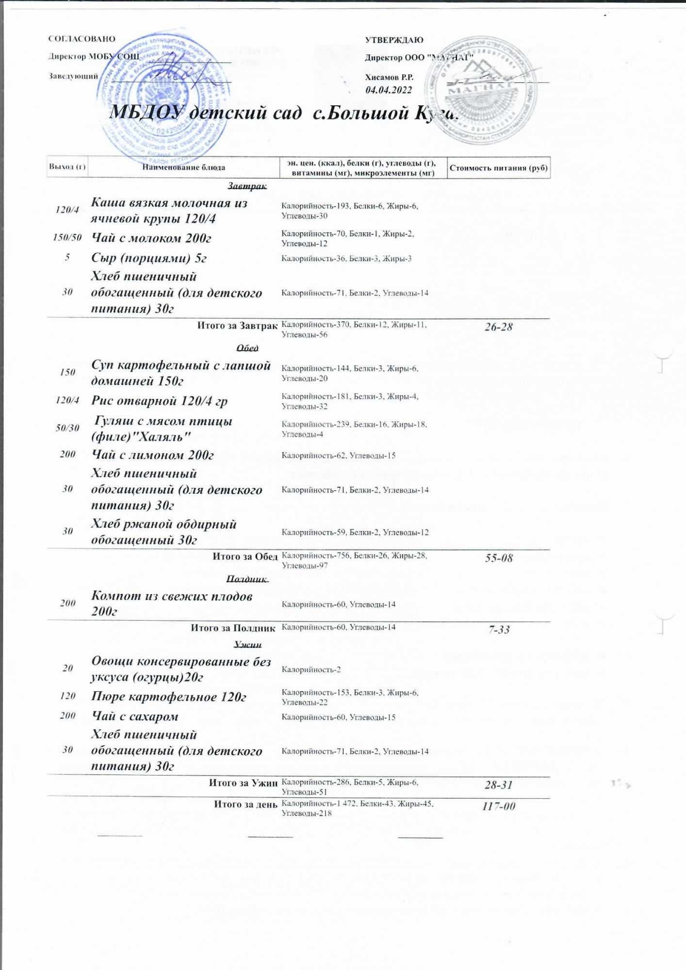
Меню
Меню
04.04.2022
Завтрак
(Меню )
08:00
Обед
(Меню )
08:00
Ужин
(Меню )
08:00
Меню
(Меню)
08:00
01.04.2022
Завтрак
(Меню )
08:00
Обед
(Меню )
08:00
Обед
(Меню )
08:00
Меню
(Меню)
08:00
31.03.2022
Обед
(Меню )
08:00
Ужин
(Меню )
08:00
Назад
1
...
388
389
390
391
392
...
430
Вперед